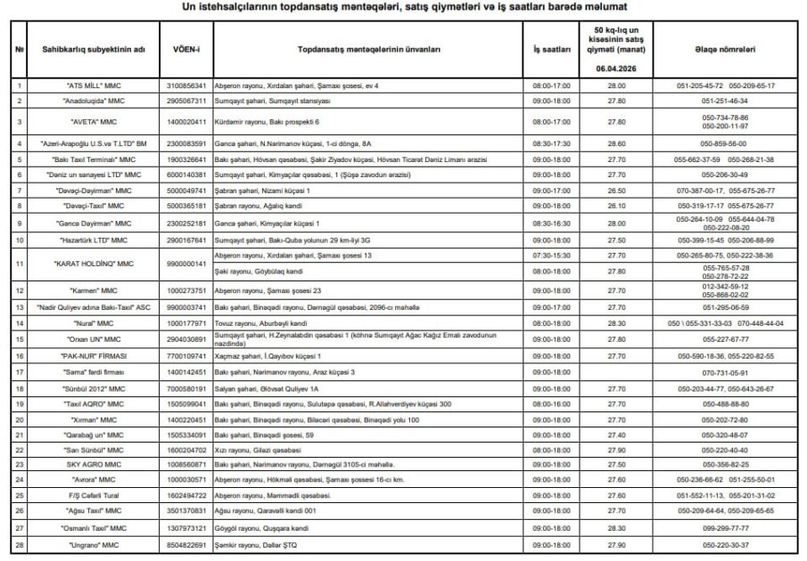
aprel tarixinə Azərbaycanda un istehsalçılarının topdansatış məntəqələrində 50 kq-lıq un kisəsinin satış qiyməti 26,1-28,6 manat arasında dəyişib.
Bu barədə Prezident yanında Antiinhisar və İstehlak Bazarlarına Nəzarət Dövlət Agentliyindən bildirilib.
Məlumata görə, unun ən aşağı topdansatış qiyməti 26,1 manat olmaqla Şabran rayonunda, ən yüksək topdansatış qiyməti 28,6 manat olmaqla Gəncə şəhərində qeydə alınıb.
